智能控制SHUSHU期末复习
智控期末复习
填空题
7简答题(有关键词就可以)
计算题2(模糊运算、BP网络、delta学习算法)
作图题分析题2
问答题
1. 什么是自动控制?传统控制理论与智能控制的差异?系统传递函数的定义?
-
自动控制是在无人参与的情况下,利用外加设备或装置(自动控制装置或控制器),使整个生产过程或工作机械(被控对象)自动地按预定规律运行,或使其某个参数(被控变量)按预定的要求变化。
-
传统控制方法基于被控对象精确模型的控制方式,缺乏灵活性和应变能力,适用于解决线性、时不变性等相对简单的控制问题。智能控制将控制理论的方法和人工智能技术灵活地结合起来,其控制方法适应对象的复杂性和不确定性。
- 传统控制:自动、现代、智能
-
系统的传递函数是指线性定常系统在零初始条件下微分方程中的输出量的拉氏变换与输入量的拉氏变换之比。
2. 描述智能系统的概念及其三元论构成。
- 智能控制即设计一个控制器(或系统)使之具有学习、抽象、推理、决策等功能,并能根据环境(包括被控对象或被控过程)信息的变化做出适应性反应,从而实现由人来完成任务。
- 三元论:
其中 IC为智能控制 AI为人工智能 AC为自动控制 OR为运筹学
3. 描述智能系统的特点及其应用对象的特点。
- 智能控制的特点:
- 学习功能
- 适应功能
- 自组织功能
- 优化功能
- 智能控制应用对象的特点
- 不确定的模型
- 高度的非线性
- 复杂的任务要求
4. 描述专家系统的定义、主要构成及其建立步骤。
- 定义:专家系统是一类包含知识和推理的智能计算机程序,其内部包含某领域专家水平的知识和经验,具有解决专门问题的能力
- 主要构成:主要由知识库和推理机构组成,如下图所示
- 建立步骤:
- 知识库的设计
- 确定只是类型:叙述性知识、过程性知识、控制性知识
- 确定知识的表达方法
- 知识库管理系统的设计,实现规则的保存、编辑、删除、增加、搜索
- 推理机的设计
- 选择推理方式
- 选择推理算法:搜索算法,BFS、DFS、启发式优先搜索等
- 人机接口的设计
- 设计"用户-专家系统接口":用于咨询理解和结论解释
- 设计"专家-专家系统接口":用于知识库扩充以及系统维护。
- 知识库的设计
5. 描述专家系统与专家控制的联系和区别。
专家控制引入了专家系统的思想,但是与专家系统存在以下区别:
- 专家系统能完成专门领域的功能,辅助用户决策;专家控制能进行独立的、实时的自动决策。专家控制比专家系统对可靠性和抗干扰性有更高的要求。
- 专家系统处于离线工作方式,专家控制要求在线获取反馈信息,即要求在线工作方式。
6. 模糊控制器由哪几部分构成,各完成什么功能?模糊控制器的构建步骤。
模糊控制器的组成部分以及其完成的功能
- 模糊化接口:将真实的确定量输入转换为一个模糊向量
- 知识库:知识库由数据库和规则库两部分构成
- 数据库:存放所有输入、输出变量的全部模糊子集的隶属函度向量值(经过论域等级离散化以后对应值的集合)。在规则推理的模糊关系方程求解过程中向推理机提供数据。
- 规则库:用于存放全部的模糊控制规则,在推理时,为"推理机"提供控制规则。
- 推理与解模糊接口
- 推理:根据输入模糊量,由模糊控制规则完成模糊推理来求解模糊方程,并获得模糊控制量。
- 解模糊:将推理得到的结果进行转换,求得清晰的控制量输出。
模糊控制器构建的步骤
1. 模糊控制器的结构
2. 定义输入、输出模糊集
3. 定义输入、输出隶属函数
4. 定义模糊控制规则
5. 建立模糊控制表
6. 模糊推理
7. 反模糊化
7. 作出专家PID控制系统和模糊自适应PID控制系统框图,比较两者的差异,并描述下 kp,ki,kd三个参数对系统输出的影响规律。
专家PID控制系统框图
考试会说明画哪个
模糊自适应PID控制系统图
差异
- PID专家控制:需要精确地确定对象模型,将操作人员长期实践积累的经验知识用控制规则模型化,并运用推理对PID参数实现最佳调整
- 模糊自适应PID控制:将模糊控制规则以及有关信息作为知识存入计算机知识库中,计算机根据控制系统的实际响应情况运用模糊推理自动实现对PID参数的最佳调整
kpkikd对系统输出影响的规律
- 比例系数Kp:加快系统的响应速度,提高系统的调节精度。Kp越大,系统响应速度越快,系统的调节精度越高,但是容易产生超调甚至导致系统不稳定。取值过小,会降低系统的调节精度,使响应速度缓慢,延长调节时间,是系统静态、动态特性变坏。
- 积分作用系数Ki:消除系统的误差。Ki越大,系统静态误差消除越快,但是Ki过大,响应过程的初期会产生积分饱和现象,从而引起响应过程的较大超调。若Ki过小,将使系统静态误差难以消除,从而影响系统的调节精度。
- 微分作用系数Kd:改善系统的动态特性。作用主要是在响应过程中抑制偏差向任何方向的变化,对偏差变化进行提前预报。Kd过大,会使响应过程提前制动,从而延长调节时间,而且会降低系统的抗干扰性能。
8. 描述神经网络的定义、主要连接形式、主要特征和要素
- 人工神经网络(简称神经网络NN)使模拟人脑是思维方式的数学模型
- 神经网络主要连接方式可以分为三种
- 前向网络
- 反馈网络
- 自组织网络
- 神经网络的主要特征:
- 能逼近任意非线性函数
- 信息的并行分布式处理与存储
- 可以多输入、多输出
- 便于用超大规模集成电路或光学集成电路系统实现,或用现有的计算机技术实现
- 能进行学习、适应环境的变化
- 神经网络三要素
- 神经元(信息处理单元)的特性
- 神经元之间互相连接的拓扑结构
- 为适应环境而改善性能的学习规则
9. 结合神经网络框图,请分析说明有教师学习与无教师学习的区别是什么?
- 有导师学习:网络的输出和期望的输出(导师信号)进行比较,然后根据两者之间的差异调整网络权值,最终使差异值变小
- 无导师学习:输入模式进入网络后,网络按照一种预先设定的规则(如竞争规则)自动调整权值,使网络最终具有模式分类等功能
(另外,再励学习使介于上述两者之间的一种学习方式)
10. 分别描述 Hebb 学习规则和 Delta 学习规则。
Hebb学习规则是一种无导师的学习方法,只根据神经元链接间的激活水平改变权值
式子:
其中, 表示连接从神经元i到神经元j的当前权值, 和 分别表示神经元i和j的激活水平
Delta学习规则
符号说明:
- 表示期望输出(导师信号)
- 表示网络实际输出
- 为网络所有权值组成的向量 注意是第i层的权值,跟第i层的输入$X_i有关系,同时,第i层的输入又不止一个,可能是p个
- 为输入模式,训练样本数为
- 学习速率
神经网络目的是为了通过调整权值,使假设误差准则函数最小,可以采用梯度下降法实现权值的调整。
梯度下降法的思路:沿着E的负梯度方向不断修正W值,直到E值达到最小
准则函数为
使用梯度下降法的数学表达:
上式中,层中的每个结点分开表示
其中
令网络输出 $ \theta_p = W^TX_p $,那么
为了推导 ,先推导出
思路: 跟 有关系,跟y有关系, 又和X有直接关系;
最终得到W的修正规则:
上述式子就是delta学习规则,又称误差修正规则
ex:BP网络结构和RBF网络结构
BP网络结构(误差反向传播神经网络)
i为输入层,j为隐层,o为输出层
网络输出等见下一题
RBF网络结构(径向基函数神经网络)
x为网络输入,为隐含层第j个神经元的输出,即
上述式子中, 为第j个隐层神经元的中心点向量值,是高斯基函数的宽度向量, 且为隐含层神经元j的高斯基函数的宽度
(一个bj对应一个c向量)
网络权值为w
网络的输出为:$y_m(t)=w_1h_1+w_2h_2+…+w_mh_m $
11. 比较BP网络和RBF 网络的优缺点。
- BP网络:误差反向传播神经网络
- BP网络的优点:
- 只要有足够多的隐层和隐层节点,BP网络可以逼近任意的非线性关系
- BP网络的学习算法属于全局逼近算法,具有较强的泛化能力
- BP网络的输入和输出之间的关联信息分布地存储在网络连接权中,个别神经元的损坏只对输入输出关系有较小的影响,BP网络具有较好的容错性
- BP网络的缺点:
- 待寻优参数多,收敛速度慢
- 目标函数存在多个极值点,如果按照梯度下降法学习,很容易陷入局部极小值
- 难以确定隐层以及隐层节点的数目,目前网络结构的确定还没有很好的方法,仍需根据经验来试凑
- BP网络的优点:
- RBF网络
- RBF网络的优点:
算法简单、运行时间快 - RBF网络的缺点:
RBF网络的输入空间到输出空间是非线性的,隐含空间到输出空间是非线性的,因此非线性能力不如BP网络。
- RBF网络的优点:
12. 分别给出2-3-1结构的BP网络逼近和RBF网络逼近的结构图,标出网络输入输出,并学习过程。
BP网络逼近
- 符号解释:
- k 网络的迭代步骤
- 逼近器的输入
- 图中的BP是网络逼近器
- 是被控对象的实际输出
- 是 BP网络的输出
系统输出以及输入是逼近器BP的输入,将系统输出与网络输出的误差作为逼近器的调整信号。
- BP算法的学习过程:由正向传播和反向传播组成
- 正向传播:输入信息从输入层经隐层逐层处理,传向输出层,每层神经元的状态只影响下一层神经元的状态。
- 反向传播:如果输出层不能得到期望输出,就会转向反向传播,将误差信号按连接通路反向计算,由梯度下降法调整各层神经元的权值,使误差信号减小
- 前向传播:计算网络的输出
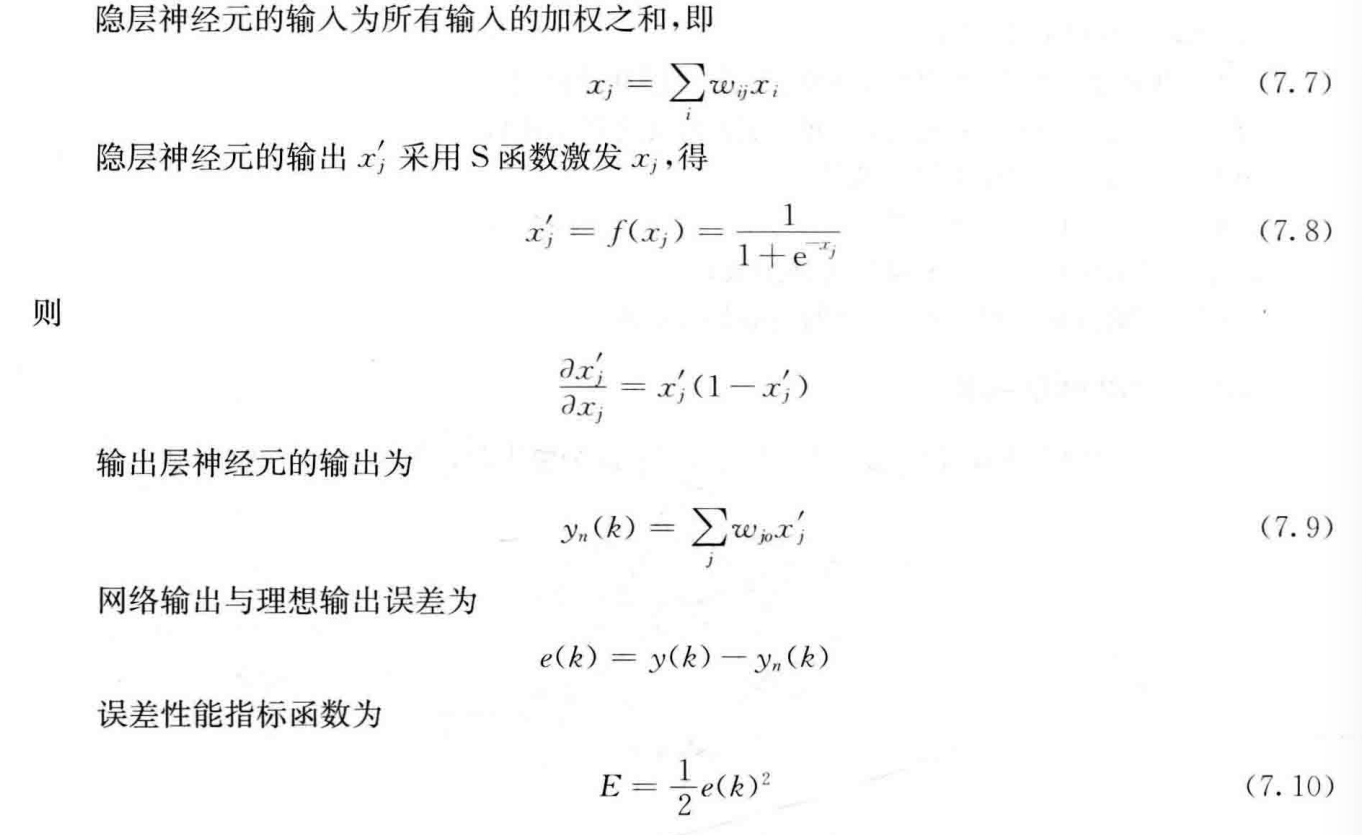
输入->加权->S函数激发->输出加权->输出结果->计算误差->计算误差性能指标函数
(前向传播简单,直接放书上截图)
S激发函数的性质:
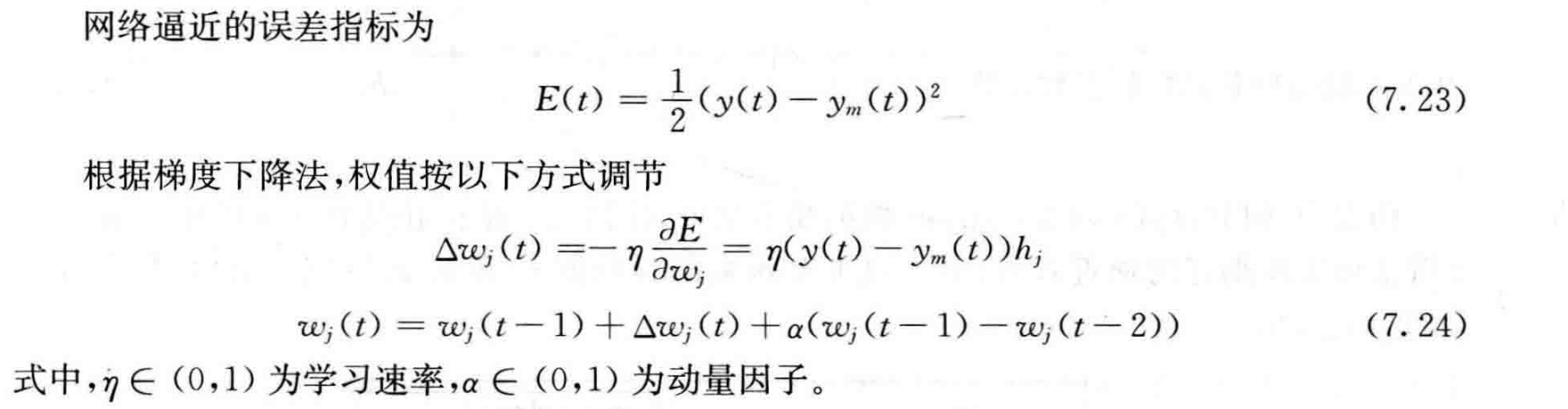
- 反向传播:采用delta学习算法调整各层之间的权值
学习率 取[0,1]- 输出层及隐层的连接权值 学习算法:(这里计算的是单个E对单个y、单个w而不是向量)
由上述学习算法就可以求出k+1时刻网络的权值 $w_{jo}(k+1)= w_{jo}(k)+\Delta w_{jo} $
- 隐层以及输出层连接权值 学习算法
类似地,用链式法则求导,直接放截图了,这里书上写的挺全的…
最终结果:注意,式子里的 是激发后的带权输入,而不是偏导
为了避免权值学习过程中发生震荡、收敛速度慢,需要考虑上次权值变化对本次权值变化的影响,因此加入动量因子
- Jacobian信息:
- 输出层及隐层的连接权值 学习算法:(这里计算的是单个E对单个y、单个w而不是向量)
RBF网络逼近
- RBF神经网络的学习过程也分为正向传播与反向传播
- 正向传播:计算网络的输出
- 反向传播:采用delta学习算法,各层之间权值
13. 作出单神经元自适应控制、RBF 网络自校正控制的控制结构框图,及其控制算法的表达式。
单神经元自适应控制:结构框图、控制算法、权值学习算法如下
控制中,u(k)表示的是控制器的输出信号
RBF网络自校正控制
- 一些符号:
- 自校正算法的表达式为
其中,$$N_g(k)=h_1w_1+…+h_jw_j+h_mw_m$$
式子中的高斯基函数的输入使用y(k-1)
- 上图中的学习算法应该指的是梯度下降法
权值W(k)和V(k)的学习算法的推导如下
14. 参照 RBF 网络直接模型参考自适应控制算法,推导 BP 网络直接模型参考自适应控制的结构图和其控制算法。
RBF网络直接模型参考自适应控制
一些变量的关系如下图:
接下来推导权值学习算法:
使用梯度下降法以及链式法则 $$\Delta w_j(k)=- \eta \frac{ \partial E(k)}{ \partial w}=\frac{ \partial E(k)}{ \partial ec(k)}\frac{ \partial ec(k)}{ \partial y(k)}\frac{ \partial y(k)}{ \partial u(k)}\frac{ \partial u(k)}{ \partial w}=\eta ec(k)\frac{ \partial y(k)}{ \partial u(k)}h_j$$
加入动量因子,权值学习算法如下:
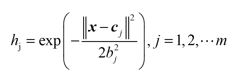
接下来推导RBF网络隐层神经元的高斯函数的基宽参数以及中心参数:
BP 网络直接模型参考自适应控制
结构图:只需要把RBF换成BP即可
控制算法:
15. 简述对于一个优化问题,构造遗传算法的 7个步骤。
遗传算法构成要素
- 染色体编码方法(使用固定长度二进制符号来表示)
- 个体适应度评价(基本遗传算法与个体适应度成正比的概率决定当前群体中每个个体遗传到下一代群体中的概率)
- 遗传算子(基本遗传算法使用三种遗传算子:选择运算-比例选择算子;交叉运算-单点交叉算子;编译运算-基本位变异算子/均匀变异算子)
- 运行参数(M:群体大小,一般取20-100;G:遗传算法的终止进化代数,取100-500;Pe:交叉概率,取0.4-0.99;Pm变异概率,一般取0.0001-0.1)
应用步骤
- 确定决策变量以及各种约束条件,即确定出个体表现型X和问题的解空间
- 建立优化模型,即确定出目标函数的类型以及数学描述形式或量化方法
- 确定表示可行解的染色体编码方法,即确定出个体基因型x以及遗传算法的搜索空间
- 确定个体适应度的量化评价方法,即确定出目标函数值J(x)到个体适应度函数F(x)的转换规则
- 设计遗传算子,即确定选择运算、交叉运算、编译运算等遗传算子的具体操作方法
- 确定遗传算法的有关运行参数,即M,G,Pc,Pm等参数
- 确定解码方法,即确定出个体表现型X到个体基因型x的对应关系或转换方法
计算题
第一题
第二题 课后练习3-2
第三题
第四题
- RBF网络自校正控制学习算法应该指的是梯度下降法or神经网络性能的调节指标???
汇总问题:
课堂回答记录:
9. 主要是画框图
11. 全局、局部优化网络(ppt有)
12. 说出学习过程;反馈、逼近,逼近框图的输入输出、学习过程
13.
14. 课堂习题
计算题一定要过程
delta学习过程要会计算
洗衣机:整个过程都要
图片整理:
- 专家PID控制系统,直接型专家控制系统,间接型专家控制系统
- 模糊自适应PID控制系统
- 有教师、无教师学习规则
- 模糊控制器
- 专家系统
- BP\RBF网络
- 2-3-1BP逼近
- RBF逼近
- 单神经元自适应控制
- RBF网络自校正控制
- BP网络直接模型参考自适应控制